Lessons & Units
A database
of lessons and units searchable by content and cultural standards,
cultural region and grade level. More units will be available soon.
You can use Acrobat Reader to look at the PDF version of the Cover
Sheet
for the Units and Self-Assessment
for Cultural Standards in Practice.
BLACKFISH

A cultural mini-unit
prepared by
Iditarod Area School District
January, 1999
|
Author:
|
Iditarod Area School District Sarah
Hanuske-Hamilton
|
|
Elders and Local Experts
|
Edna Deacon, Lina Demoski, Helen Dick,
Katherine Hamilton, Grace Holmberg, Mary Ellen Esai-Kimball,
Hannah Maillelle, Betty Petruska
|
|
Grade Level:
|
4-6
|
|
Context
|
Winter activity, 10 lessons
|
|
AKRSI Region:
|
Interior Alaska
-
Athabascan
|
|
GOALS
|
Students will learn the location of
traditional blackfish sites, the local blackfish habitat,
and the life cycle of the blackfish.
Students will apply the local traditional
and current subsistence skills to safely catch and prepare
blackfish.
Students will interact with Elders
/ local
experts to gain an understanding of the interconnectiveness
of subsistence, science, and traditional beliefs and
values.
Students will learn Native language words
and phrases that accompany blackfish activities.
Students will learn blackfish appearance
and behavior, and conduct experiments on how the blackfish
functions in its environment.
|
ALASKA STANDARDS
The goals, knowledge and skills, and activities of
this unit address the Alaska Science and Math Content Standards and
the Cultural Standards for Students as follows:
MATH STANDARDS:
A student who meets the math content standards
should:
A4 represent, analyze, and use
mathematical patterns, relations, and functions using methods such
as tables, equations, and graphs;
A6 collect, organize, analyze,
interpret, represent, and formulate questions about data and make
reasonable and useful predictions about the certainty,
uncertainty, or impossibility of an event.
Skills and knowledge
A student will be able to:
1. record and display data in table and graph
form from experiments on ice formation and blackfish
functions.
2. analyze and predict the outcome of ice
formation.
3. interpret the relationship between the rate
of respiration and the temperature of the blackfishs
environment.
SCIENCE STANDARDS
A student who meets the science content
standards should:
A14A understand the
interdependence between living things and their
environments;
A15 use science to understand and
describe the local environment (Local Knowledge);
B1 use the processes of science; these
processes include observing, classifying, measuring, interpreting
data, inferring, communicating, controlling variables, developing
models and theories, hypothesizing, predicting, and experimenting:
and
B2 design and conduct scientific
investigations using appropriate instruments.
Skills and knowledge
A student will be able to:
1. identify local traditional blackfish sites
and the clues to find new sites.
2. describe the life cycle of the blackfish in
relation to its habitats.
3. observe blackfish behavior and
structures.
4. design experiments to answer questions about
ice formation and blackfish characteristics and
functions.
CULTURAL STANDARDS
Students who meet these cultural standards are
able to:
A4 practice their traditional
responsibilities to the surrounding environment.
C1 perform subsistence activities in
ways that are appropriate to local cultural traditions
Dl acquire in-depth cultural knowledge
through active participation and meaningful interaction with
Elders.
Skills and knowledge
Students will be able to:
1. practice respectful behavior toward the
environment and dipping for blackfish.
2. describe traditional blackfish uses and
beliefs and retell blackfish stories.
3. dip for, preserve and prepare
blackfish.
4. show appreciation to the Elders and local
experts.
OVERVIEW
Elders workshops were held in McGrath and Nikolai
where the lessons to be taught were chosen and traditional
information was shared. The Elders told us that formerly blackfish
was a very important survival food, before moose and store-bought
food became plentiful. By spring if food supplies had run out and
people were starving, the blackfish provided the sustenance
desperately needed by the people. And that day could come
again.
Students will work with Elders, local experts, and
their teacher to develop traditional subsistence and Native language
skills through activities which will reveal scientific concepts and
principles.
Ten lessons have been developed with a variety of
activities to choose from. Some resource information has been
included in many of the lessons. The teacher's resources will
determine the lesson order and which activities are possible or
appropriate. It is suggested that students develop books containing
the results of the activities. These books could be presented to the
Elders and guests at the Feast/Presentation.
Sample assessments have been included in some of
the lessons. When using traditional subsistence activities, the
assessment should be on the students' ability to do something and
inferring what is known from active student participation or
demonstrations by Elders.
Many opportunities for the use of the Native
language will occur which are not mentioned in the lessons. Language
arts and social studies activities can be integrated into the lessons
also. No unit is ever completed. Additions and suggestions are
welcomed.
LESSONS
|
1. Blackfish Survey for Interviewing
Elders/Local Experts
|
6. Traditional Blackfish Uses and
Beliefs
|
|
2. Fishing and Use Comparisons/ Contact
with Other Schools
|
7. Blackfish Dipping Field Trip
Preparation
|
|
3. Blackfish Site
Map/Lifecycle
|
8. Dipping for Blackfish
|
|
4. Ice Safety
|
9. Blackfish Identification/
Experiments
|
|
5. Dipper Construction
|
10. Blackfish Tea/Feast/
Presentation
|
RESOURCES
Some useful printed resources are listed below. As
with all of the locally based cultural mini-units, the most important
resource for the teacher and students is the local elders and
cultural experts. They have a combination of scientific and cultural
knowledge which cannot be found in any book
A Field Guide to Animal Tracks Olas
J. Murie, Houghton
Mifflin Company Boston, 1954
Alaska Wildlife Curricula -4 volumes,
Alaska Department of Fish and Game, Robin Dubin, Education
Coordinator, 333 Raspberry Lane, Anchorage, AK 99518
907-267-2168
Alaska Wildlife Week 1983
/ Alaska
Department of Fish and Game, now part of the Alaska Wildlife
Curricula.
Basic Emergency Aid Rescue Yukon-Kuskokwim
Health Corporation, Bethel, Alaska, 1987
Complete Outdoors Encyclopedia Vin
T. Sparam, St. Martins Press, New York, 1998
Fish And Fisheries Alaska Sea Week
Curriculum Series Grade 5, University of Alaska, Fairbanks,
1996.
Iditarod Curriculum: The Last Great Race to
Nome Shelley Gill, Paws 1V Publishing, Homer, Alaska,
1993.
Ingalik Material Culture Cornelius Osgood,
Yale University Publications in Anthropology #22, Human Relations
Area Files Press, New Haven, 1970.
Make Prayers to the Raven A Koyukon
View of the Northern Forest. Richard K. Nelson, The University
of Chicago Press, Chicago, 1983.
Outdoor Survival Training for Alaska's
Youth Alaska Sea Grant College Program, University of Alaska,
Fairbanks, 1993
The Freshwater Fishes of Alaska James E.
Morrow, Alaska Northwest Publishing, Anchorage, 1980.
Tracks: C'ek'e
Copper River School District, 1981
Wetlands And Wildlife Alaska Wildlife
Curriculum Alaska Department of Fish and Game/United States Fish
and Wildlife Services, 1990.
USGS and aerial maps can be ordered from the Earth
Science Information Center, Geographical Survey, USD1, 4230
University Drive, (Alaska Pacific University, Grace Hall, Room 101),
Anchorage, AK 99508-4664 (907-786-7011) or the Remote Sensing Data
Center, Geophysical Institute, UAF, Fairbanks, AK 99775-0800
(474-7558) The aerial maps are 9" x 9" with choices of black/white or
color infrared. You will need to know the geographic coordinates of
the area. They will advise the best selection available for viewing
specific features, for time of year, and for high or low altitude
photography. Some ariel photos cover a 9 mile by 9 mile area. Some of
the older photos cover a smaller 6 mile by 6 mile area. The prices
range from $10.00 to $16.00. When in Anchorage or Fairbanks you can
preview the photos at their offices.
|
LESSON 1
|
BLACKFISH SURVEY for INTERVIEWING
ELDERS and LOCAL EXPERTS
|
Students will be able to
develop a survey to interview
Elders/local experts.
acquire knowledge from Elders/local experts.
|
ACTIVITY
|
Brainstorm Survey
|
Students will brainstorm with the teacher what
they know about blackfish and where to find them. Draw a generic fish
on the board, write blackfish inside, and then concept map the
students' responses.
This information can be placed on a table. The
table will help students develop a survey to interview the Elders
/ local experts about
additional information that they want to know or confirm about
blackfish. The following is a sample table. Students may find a
different way of categorizing their information. A class chart could
be displayed with each student keeping an individual table and adding
to it throughout all the activities.
BLACKFISH
|
|
Summer
|
Fall
|
Winter
|
Spring
|
|
Where to catch
Name of location
English & Native
Clues to new site
Describe habitat
Life cycle
Traditions
Safety precautions
Fishing equipment
Other cultures
Etc.
|
|
|
|
|
Using the table have the students develop a survey to interview
the Elders/local experts. The interviewing may be done as homework
and/or by inviting the Elders/local experts to class.
|
ACTIVITY
|
Blackfish Drawing
|
Have students draw a picture of what they think a
blackfish looks like. This activity needs to be done at the beginning
of the unit, before students start doing any type of
research.
Save these pictures. Each student's picture will
be used later as a comparison with his /
her observations of an actual blackfish in
Lesson 9.
ASSESSMENT
The sample assessment addresses the cultural
standard regarding the interaction between Elders/local experts and
the students. It can be used throughout the unit. This could be
preceded by the Elder telling how s/he learned from grandparents and
parents; how children were to behave in the kashim, at other
gatherings, etc.
MEANINGFUL INTERACTION WITH ELDERS/LOCAL
EXPERTS
|
Criteria
Uses appropriate name for
Elder/local expert
Is respectful to Elder/local expert
Pays attention, listens to what is being said and
watches what is being done
Makes careful observations
Asks appropriate questions
Performs new skill
Shows appreciation for knowledge and help from
Elder/local expert
|
Almost Always
|
Often
|
Sometimes
|
|
LESSON 2
|
REGIONAL
COMPARISONS of CATCHING and USE of BLACKFISH - CONTACT with OTHER
SCHOOLS
|
Students will be able to
compare traditional cultural subsistence,
and scientific information from other sources.
|
ACTIVITY
|
Regional Comparison
|
This activity should be set up relatively early so
that students can have ongoing contact with other schools that may be
doing the same activity.
Look at the small map from The Freshwater
Fishes of Alaska which shows the range of the blackfish to
determine which communities to contact.
Have students use the internet to contact other
schools and arrange for exchange of information. Compare
observations, traditional customs, Native language, and the results
of experiments.
This blackfish is also found in Siberia. Research
how indigenous and Russian people use blackfish.
Students should be recording new information on
their tables and the class chart. Another category on the table could
be the source of information whether it is from local experts,
written material, or from students at other school sites.
INFORMATION
from The Freshwater Fishes of Alaska page
161:
The Alaska blackfish is found in lowland areas in eastern Siberia,
Saint Matthew, Saint Lawrence and Nunivak islands in the Bering Sea,
and in Alaska. On the mainland of Alaska its natural range is from
the Colville River Delta on the arctic coast west and south to the
central Alaska Peninsula near Chignik. It is present in the
Yukon-Tanana drainage as far upstream as Big Eldorado Creek, near
Fairbanks. Wherever it is present, it is usually quite abundant. The
Alaska blackfish was introduced successfully to Saint Paul Island in
the Pribilofs.
|
LESSONS 3
|
BLACKFISH SITE MAP
|
Student will be able to
identify local traditional blackfish
sites on a map using Native and English place names.
describe the life cycle of the blackfish in
relation to its habitats.
describe the blackfish food chain.
identify the environmental clues for finding a
new blackfish site.
|
ACTIVITY
|
Making a Local Map
|
Trace a map of the local area from a USGS map by
using an opaque projector.
Using the information from the questionnaire
and/or an Elder, students will locate the blackfish sites on the map
and label both in English and the Native language. Display the
map.
When new sites are discovered, add them to the
map. If it is not a traditional site, have the students create a new
Native name for it. Students could make individual maps for their
books.
|
ACTIVITY
|
Life Cycle/Habitat
Recognition
|
From the survey or from listening to an Elder in
class, discuss the different habitats where the blackfish are found
locally. How do these habitats relate to the life cycle of the
blackfish? To the seasons? Where and what time of year blackfish are
caught?
INFORMATION
from Alaska Wildlife Week:
Blackfish need both quiet shallow water with aquatic plants (for
laying eggs and feeding), and deep water for overwinter feeding.
Blackfish cannot live in ponds or streams that freeze solid. Thus the
size pond they live in during winter depends on the
climate.
from Elders/local experts:
Blackfish are found on the deeper side of the lake, not the grassy
side.
From Fish And Fisheries page 39:
The Alaska blackfish is a small mud minnow that grows to eight
inches. It is a rather sluggish, bottom-dwelling fish, which in
winter tends to live in deeper portions of lakes where the oxygen is
more abundant. In summer it moves to heavily vegetated tundra, ponds,
streams, rivers, and lake edges.
From The Freshwater Fishes of Alaska page
163:
The blackfish does not undertake extensive movements, as far as is
known. Its migrations appear to be limited to inshore or upstream
movements to spawning grounds in the spring and (presumably) reverse
migrations to deeper water in the fall.
Spawning occurs in spring and summer, beginning
soon after breakup m May and continuing into July in the interior of
Alaska, but apparently taking place only in late July in the Bristol
Bay area. Upstream movement appears to coincide with a rise in water
temperature 10 to 15 degrees Celsius. Spawning has not been observed,
but the eggs are probably deposited in vegetation at the bottom of
shallow ponds and quiet streams.
Development to hatching requires about 10 days at
12 to 13 degrees Celsius under experimental conditions. The young are
about .57 cm long at hatching and have a large yolk sac. By the 10th
day after hatching, the young are about .9 cm long and the yolk sac
has virtually disappeared. By the 22nd day, the little fish are about
1.2 cm long and are beginning to take on the characteristics of the
adults. Metamorphosis is virtually complete in about 44
days.
Have students work in pairs/small groups to
develop the links in the blackfish food chain. Alaska Fish and Game
has a set of over 100 Wetland Cards which are illustrated with
plants, invertebrates, fish, birds, and mammals. Each illustration
has text which describes the organism's traits, habitat, food habits,
and what eats it. These cards can be copied and cut apart to form
flow charts or games.
After arranging the cards in a chain/web, remove a
card. Ask what natural or man-made occurance could cause this and
what would be the result. List natural and man-made causes which
would cause a disturbance in a food chain/ web. What effects would
logging, oil spills, other pollution sources have on the various
links?
INFORMATION
from Alaska Wildlife Week page 33:
All living things must have energy and minerals in order to move
around, grow, and reproduce. The pathway of energy and minerals from
the non-living environment through living things and back, is called
a FOOD CHAIN. Food chains begin with PRODUCERS, living things that
can use energy and minerals directly from the non-living environment.
Algae is a producer in a water habitat.
From Wetlands and Wildlife page 20:
The transfer of energy from its source to one or more organisms is
called a food chain. The sun's energy is the primary source of energy
for all life on earth. Sun energy flows through many links in the
plant and animal world. The plants and animals that depend on each
other for food each form a link in the food chain. Food chains are
really food webs, since many species are related to more than one
food source and more than one predator.
Food of the blackfish includes copepods,
wateffleas, larvae of stoneflies, mayflies, midges, and dragonflies.
Also mollusks, segmented worms, and algae. The blackfish is eaten by
river otters, mink, loons, grebes, terns, and people.
Discuss how students would "read" the environment
to find a new fishing site for blackfish. What clues around an open
hole in the ice would indicate that blackfish might be found
there?
Have students draw without looking the tracks of
marten, mink, raven, otter, owl, and fox. Have them compare their
drawings with photos/drawings of actual tracks.
A concentration game could be made of animals and
tracks. Place the cards of each face down and mix. Each player in
turn picks up two cards. If there is no match, the cards are placed
in their original position. If the two are a pair (animal and track),
the student has another turn; otherwise, it's the next student's
turn. Using the Native names of the animals on the cards is another
variation.
INFORMATION
from Make Prayers to the Raven page 74:
Blackfish live in lakes throughout Koyukon country, and in certain
ones they must be incredibly prolific. By late winter the frozen
lakes sometimes become critically short of oxygen, and blackfish
begin swarming at natural openings--muskrat pushups, beaver runways,
and current holes. The sluggish little fish constantly swirl to the
surface gasping air, and over the days and weeks they gradually
enlarge the hole.
Thousands of fish school around some openings,
where they become prey for ravens, otters, and other predators that
happen along. I have seen holes like this, strewn with half-eaten
fish, the snow tramped hard all around by animals that return time
and again to feed. People can fish in these places too, and in the
old days blackfish swarms saved many from hardship, even from
starvation. Using traps or dip nets, they might catch bushels of fish
if they found a good swarm. This is still done occasionally, but
people do not put much effort into catching blackfish
nowadays.
From Elders/local experts:
To find a new blackfish site in the ice, look for lots of animal
tracks, fish parts, and a little blood. You will know that the
animals are catching and eating them. Marten, fox, mink, and raven
are looking for them around open holes. Blackfish swimming near the
surface will keep the hole open. Another time to catch blackfish is
right around spring breakup.
|
ACTIVITY
|
Web of Interdependence
Drawing
|
Have students create a drawing/flow chart/concept
map which includes the information learned from the previous
activities. This can be graphic, words, or a combination of both.
Students may work in pairs or small groups.
The following should be included to show the
interdependence of blackfish with: the yearly cycle of migration from
lake to tundra pond, the life cycle, food chain, and subsistence
activities.
ASSESSMENT
The following is an assessment of the activity,
Web of Interdependence. It addresses two science standards, using
local knowledge to understand and describe the local environment and
to understand the interdependence between living things and their
environments.
BLACKFISH WEB OF INTERDEPENDENCE
|
Criteria
|
No Evidence
|
Some Evidence
|
Proficient
|
|
Knows the blackfish life cycle
Understands the influence of the seasons
Can identify blackfish habitat
Can describe the blackfish food chain
Can identify local blackfish sites
using both English and Native names
Understands the interdependence of the seasons,
environment, blackfish life cycle, animals, people,
etc.
|
|
|
|
A student will be able to
describe appropriate clothing for winter safety.
identify unsafe/safe ice.
describe how to rescue another person and oneself.
use the scientific process to design own experiment on ice
formation.
record and analyze data on tables and graphs.
Depending on your curriculum and/or the knowledge and skills of
your students, this lesson could be expanded on outdoor winter
safety. Only ice safety is covered in this lesson. You may want to
review how to treat hyperthermia which is not covered here.
B.E.A.R.S. Basic
Emergency Aid Rescue Students Workbook has winter safety
information.
At the workshops Elders indicated that ice safety was a very
important topic. Local elders will have many valuable stories on
testing ice for thickness and for safety as well as stories of
rescue.
|
ACTIVITY
|
Brainstorm Ice Rescue: Saving A Friend - Saving
Yourself
|
This activity will prepare students for science experiments
about
ice, warm clothing, and practicing ice rescue. This could be a class
or pair/small group activity. If students are working in pairs
/ small
group, have them write the steps they would take to rescue someone
who has fallen through the ice. The class will share this
information. Record their information.
As a class have them brainstorm how they would save themselves if
they fell through the ice and record this information.
Have they taken into consideration the thickness of the ice as
related to the time of year, amount of snow cover on ice, and the
location in the river or lake of the victim? Have they described the
correct approach on ice of the rescuer? Have students make some
predictions about ice thickness.
What effect does snow cover have on ice formation?
How does a change in the temperature affect ice?
How does the time of year affect ice thickness?
Is river ice the same thickness from the bank to the middle?
Do river and lake ice have the same strength?
How do currents and springs affect ice thickness?
What does an overflow tell us about the ice?
These questions and others can be the basis for some scientific
investigations. The following activity is an example.
|
ACTIVITY
|
Effect of Snow Cover on Ice
Formation
|
Have students work in pairs/small groups. Use two similar
containers, add the same amount of water at the same temperature to
the pair of containers. Cover the containers with lids or plastic
bags. Place the two containers outside in freezing weather next to
one another. Cover one container with a mound of snow. Periodically
check each container, record the temperature of each, and measure the
ice formation. A sample table on which the student can record data
follows:
ICE FORMATION EXPERIMENT
|
Prediction/hypothesis
Equipment/Procedure
|
|
|
|
|
Data Collection
|
Time
|
Temperature of water/ice
|
Thickness of ice
|
|
Container #1
Container #2
|
|
|
|
|
Discussion of Observations
Conclusion
|
|
|
|
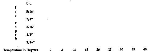
Use the data from the above table to make a line graph. Actually
two lines will appear on the graph. Metric or the English
measurements may be used. The following sample graph uses ice depth
and temperature as the coordinates. Another graph could be made with
ice depth and time as the coordinates. Use two colored pencils; have
students mark the coordinates of container #1 and connect the dots
with a line in one color. Use the other color for container #2.
Ice Thickness, Temperature, and Snow
Cover

Compare the line graphs of the exposed container and the one
mounded with snow. At what temperatures had both 1/16 inch of
ice?
Do the lines of the two containers cross? What is the difference
between the rate of ice formation in the two containers? What
function does the snow mounded on the container perform? How does
this apply to what happens to the formation of river or lake ice?
INFORMATION
from Complete Outdoors Encyclopedia page 320:
Winter is the time of year when icefishermen venture out onto frozen
waters. Most will have fun, but a few will get into trouble because
they don't know how to make sure that the ice is safe. The first rule
is never take chances. There are two periods when accidents are
likely to happen: early in the season when slush ice doesn't freeze
uniformly and late in the season when ice melts at an uneven rate. It
takes prolonged periods of freezing to make ice safe. Here are some
rules to remember:
* Be cautious of heavy snowfalls while
ice is forming. Snow acts as an insulator. The result is a layer of
slush and snow on top of treacherous ice.
* Clear solid river ice is 15 percent
weaker than clear lake ice.
* River ice is thinner in midstream than
near the banks.
* River mouths are dangerous because
currents create pockets of unsafe ice.
* When walking with friend, stay 10 yards
apart.
* Lakes that have a lot of springs have
weak spots of ice.
|
ACTIVITY
|
Local Ice Safety Chart
|
Look at the ice safety chart. What additional rules for ice safety
can be added to the list which reflect local knowledge? (eg. Don't
walk in front of a beaver house.) Have students illustrate an ice
safety chart.
ICE SAFETY CHART
|
Ice
(in inches)
|
Maximum Safe Load
|
|
2
|
One person on foot
|
|
3
|
Group in single file
|
|
5
|
snowmobile
|
|
7.5
|
Car (two tons gross weight),
|
|
8
|
Light truck (2.5 tons)
|
|
10
|
Medium truck (3.5 tons)
|
|
12
|
Heavy truck (8 tons)
|
|
ACTIVITY
|
Clothing Insulation Experiment
|
This is a good class activity. Use a class chart to record class
predictions, and observations. Have students predict which type of
clothing will keep them warmer. Show them three examples of clothing
made from wool, polypropylene, and cotton. For the experiment:
Use three pieces of clothing made of wool, polypropylene,
and cotton.
Soak them in water, wring out, and pass around.
Hang to dry.
Have students check periodically on drying progress.
Record observations on class chart.
Compare how long each type of material takes to dry.
Discuss how the clothing would feel on if the students
were out in the cold.
From Outdoor Survival Training for Alaska's Youth
INFORMATION
from Outdoor Survival Training for Alaska's Youth:
Clothing is our primary shelter. Our head loses the most heat. Fifty
percent of our body heat is lost from our head at 400F and
up to 75% at 50F. A hat is a crucial survival garment.
Always be prepared for an emergency by dressing in layers or taking
warm gear along. Although cotton jeans are popular, wool and
polypropylene are warmer than cotton. Also they insulate even when
they are wet.
|
ACTIVITY
|
Ice Rescue Practice
|
This is a good outdoor activity. In the classroom review the
rescue plans made by the students. Discuss why rescuers must lie on
their stomachs and slide on the ice toward the victim. How does this
relate to using snowshoes to walk on snow? Why do rescuers use an
extension such as a stick or a coat rather than their hand to pull
the victim out of the water?
If alone on the ice when the accident happens, how would students
aid their own rescue? What pocket items could help students pull
themselves out of the water onto the ice? Any other item on the
student's person?
Outside in the snow, mark the perimeter of the lake or the river
banks. Shovel several holes in the snow large enough for the victim
to lie in. One should be near a bank, one in the middle of the river
or lake, and any other local situation such as near a cut bank,
beaver house, etc. Simulate situations where students can practice
rescuing others and saving themselves.
INFORMATION
from Complete Outdoors Encyclopedia page 320:
If a friend falls through the ice, never approach him upright. Toss
him a rope, branch or jacket to pull him from the water. Lie flat on
your stomach and slide toward your friend. When he has taken hold,
slide backward. He can assist with a flutter kick to propel himself
out of the hole. A second rescuer can hold the feet of the first
rescuer and help pull the victim out of the water and off the
ice.
If you're alone, carry "ice claws" that can help you crawl
onto
safe ice. They can be made from two awls or stove bolts filed to
points. The sharp points can be shielded by corks, and holes drilled
in the ends so they can be carried on lanyards. If you don't have ice
claws, carry 10-penny nails or even car keys that you can dig into
the ice and pull yourself out.
From Iditarod Curriculum page 87:
Rescue: You can save yourself. If you fall through the ice, stay calm
and do the following things: 1. Float on your stomach. Bend your
knees. 2. Reach forward onto broken ice. DO NOT push down on the ice.
3. Use a strong flutter kick to push yourself out of the water. 4.
When you are on the ice, spread out your arms and legs. Crawl or roll
to safety.
From Elders:
Always take a stick; use it to poke holes and test the ice. If you
fall, the stick can help to catch you, or if you fall in, use it to
dig into the ice to help pull yourself out.
|
LESSON 5
|
CONSTRUCTION of BLACKFISH DIPPER,
TRAP, and FENCE
|
The student will be able to
observe and then make dippers and/ or traps and
fences.
recognize and speak Native language words and phrases for making
the equipment and for catching fish.
practice respectful behavior and dipping techniques learned from
blackfish stories told by Elders/local experts.
describe traditional fishing practices learned from Elders and
research.
Have an elder/local expert show students how to make dippers from
cans and/ or a blackfish trap. The dippers can be made from coffee
cans or the large number 10 cans. Punch holes in the sides and
bottom. The attached stick handle needs to be a dry one. Why would a
fresh willow stick make dipping difficult? An alternative to making
dipping cans is to use gunny sacks or a fine mesh dip net.
Making a traditional blackfish trap takes three to four days.
There are a number of possibilities: individual student science
project, watch an elder make it in class while students make their
dippers, elder show finished trap and explain how it is used, or read
the information from Osgood and have a student make a presentation.
The construction and use of the blackfish fence could be presented in
a similar way.
While making the dippers students should be learning about
traditional, respectful dipping preparation, the actual dipping
procedure, and any related stories from the Elders.
|
ACTIVITY
|
Practice Dipping
|
When the dippers are finished, have students in pairs or small
groups simulate dipping for blackfish. Have them practice what they
have learned including: describing clues for finding the site and
details about its location, giving reasons why blackfish are there,
describing safe ice procedures, rehearsing respectful behavior and
careful dipping techniques, and using new Native words and
phrases.
INFORMATION
from Elders:
Blackfish traps used to be made and placed under the ice. Sometimes a
drowned muskrat would also be in the trap. Today people will use a
dipnet with very fine mesh, a gunny sack or a coffee can that has
holes punched in it. The fish can be spilled into a tub. If spilled
onto shoveled ice, the next day there will be a block of frozen
blackfish.
From Ingalik Material Culture page 232:
The most important type of fish trap used in winter is set in small
lakes for blackfish. This kind of trap, singly or in pairs, may be
set under the ice either at the end of a fence extending a short
distance out from the shore or be inserted into a "pothole" where
blackfish come up to breathe. In the latter case, the trap
- which is only about six feet
long - is held in vertical
position with its mouth upward a few inches below the bottom surface
of the ice. When the blackfish rise to breathe, they turn and start
down again frequently going into the basket from which they cannot
escape because of its funnel-like mouth. The fisherman will try to
help the blackfish keep their breathing hole open by putting snow
into it or, better yet, some grass with snow on top and then willow
rods as a cover. Such traps are visited almost every day, the basket
being drawn to the surface of the ice and the sticks forming the
small end being simply untied so that the fish can be dumped out.
Fish traps - and there may be
more than one - set at the
extremity of a fence stretching out form the shore are visited in
much the same manner as the winter trap previously described. Unlike
the "pothole" settings, however, one cannot be so confident of having
the right location, and blackfish traps are frequently moved to a
place that it is thought may bring a greater reward.
Although the blackfish trap is the main source of fresh
fish in
winter, it is most successful in the month of May after the ice has
melted, when it is put down into the channel of the outlet of a lake,
a rivulet not much larger than the trap itself. Resting in this
runnel it may be almost completely filled by blackfish during a
single night. In the morning the fisherman simply rolls it out and
slides his catch up on the shore. Blackfish caught in the spring
taste different from - and are
preferred to - those taken in
winter. In winter when a man goes to a lake in order to fish, he may
take a grandchild or two for company if he is old, or a friend if he
is young, but usually he does his fishing alone.
|
LESSON 6
|
TRADITIONAL BLACKFISH USES and
BELIEFS
|
Students will be able to
describe the importance of blackfish to peoples' survival
in the past.
describe uses they learn from Elders/local experts including:
as food for people and animals, and as bait.
describe preservation and preparation recipes
retell traditional beliefs and stories about blackfish.
|
ACTIVITY
|
Traditional Value System
|
This information could be obtained by the students either
as a
homework assignment or during Elder/local expert class visits. The "Value System" and "Uses" do
not need to be treated as separate activities. They are presented in this way
to help with teacher
preparation.
Students will want to have questions written regarding surviving
in the past, sharing of resources, working together, respecting the
environment, and maintaining a relationship to the land. This is more
than good resource and land management, it includes honoring the
cycle and spirit of the fish to sustain the people's lives.
Let the Elder/local expert tell about times past. The students'
questions are more to prepare and aid them for active listening,
remembering, and recording in their books. There may be some
traditional blackfish stories and elders should be encouraged to tell
any they know.
|
ACTIVITY
|
Traditional Uses and Preparation of
Blackfish
|
Students will develop questions about subsistence gathering,
preservation, preparing, and use of blackfish. This does not need to
be separate from the "Value System." The Elder/local expert will
weave it all together.
INFORMATION
At the Nikolai Elders'/local experts' workshop, this information
was shared:
Blackfish are used as bait to catch pike and lush (burbot). The fish
can be caught in the fall, kept in a bucket or jar of water, and used
later in the winter on a fish line as bait. It can also be used
singly with the hook piercing the flesh just under the dorsal fin, so
the blackfish can continue to swim around as live bait. They are also
used as bait in trapping.
Long ago people could run out of food and be near starvation in
the springtime. The blackfish was an important survival food.
One way to preserve blackfish is to dry it on poles. The pole is
inserted through the mouth and out the gills of a number of fish.
Half-dried is another way to prepare blackfish. The fish are laid on
a flat surface out of the sun and away from animals. They can later
be cooked. Some people freeze them and eat them raw. They can also be
smoked.
Blackfish broth was used to nurse babies whose mothers had died or
for babies who had been adopted. Blackfish was considered very
nutritious.
When the blackfish are caught, there are often lots of beetles in
the water with them and inside them. People used to eat the beetles
too. They would scoop out the white part which tasted a lot like
nuts.
The blackfish does not have a powerful spirit like bigger animals
so no specific ways to treat it were discussed; however, its value in
the past was great so it was respected. And today all food should be
treated with respect.
From Fish And Fisheries:
The blackfish also is prized as a dog food with a high oil content.
Many a musher has poured a gunny sack full of frozen blackfish into a
dog pot only to be amazed as the creatures thaw and begin
swimming.
|
LESSON 7
|
FIELD TRIP
PLANS/PREPARATION
|
Students will be able to
list resources needed for a field trip.
be responsible for some aspect of the field trip.
|
ACTIVITY
|
Preparation List
|
Students can brainstorm with the teacher, devise a check list, and
decide who is responsible for which item/ activity. An item might be
designated traditional such as a big stick to test the ice or
current such as the first aid kit. Native names, where
appropriate, could be listed in an additional column, if made into a
poster/ chart, students could add illustrations. The following are
suggestions:
PREPARATION LIST
|
Item (Traditional/Current)
|
Responsibility
|
Fishing equipment, tubs/sacks
Tools, shovels
Transportation, gas, oil
Snacks/tea
First aid kit
Survival equipment
Proper clothing
Weather forecast
Route/how long it takes
Cleanup
Video equipment
Cameras
Journals
Elders/local experts
Observation skills
Chaperones
Permission slips
|
LESSON 8
|
DIPPING FOR BLACKFISH
|
Students will be able to
follow safe procedures for fishing on ice. observe
Elders/ local experts dipping for blackfish. catch and save
blackfish.
|
ACTIVITY
|
Dipping for Blackfish Fieldtrip
|
At the blackfish site or sites, have students review ice safety
procedures. If the class is large, several fishing sites will be
safer. Students will watch and follow the instructions of the
Elders/local experts. Students will catch and save their blackfish in
containers or by making blackfish ice blocks.
INFORMATION
from Make Prayers to the Raven page 75:
The greatest curiosity about blackfish is their ability to forestall
death. When people make a big catch they sometimes pile the fish
beside the hole and cover them with a mound of snow. Those on the
outside of the pile will freeze and die, but if the inside ones do
not freeze solid they can live out of water for about two weeks.
|
LESSON 9
|
BLACKFISH IDENTIFICATION and
EXPERIMENTS
|
The student will be able to
record the behavior of live fish. define what a fish
is.
identify external and internal features and explain their
functions.
Note to teachers: Check in your community what is proper or
respectful in experimenting with fish. Students may want to freeze
blackfish and see if they revive. This might be a sensitive
issue.
ACTIVITY
Label External Fish Structures
Each group of students will have a fish to observe. Pass out the
original blackfish pictures. Have students draw a new picture and
label the external structures: dorsal fin, caudal fin, anal fin,
pelvic fin, pectoral fin, mouth, nostril, eye, gill cover, anus, Have
students record the length and weight of their fish. Use Native words
to label the fish structures. Have students compare their original
drawing with the one drawn from observation.
ACTIVITY
Swimming Behavior
Observe fish behavior. Place live fish in jars of water; one fish
for each group of students. Have the students answer the following
questions about fins; they do not need to know the proper fin names,
yet:
|
Which fin moves the fish forward in the water?
|
caudal(tail)
|
|
Which fin helps the fish turn left or right?
|
caudal
|
|
Which fin allows the fish to steer?
|
pectoral
pelvic
|
|
Which fin helps the fish brake?
|
pectoral
pelvic
|
|
Which fin moves the fish up and down?
|
pectoral
pelvic
|
|
Which fin keeps the fish balanced in the water?
(keeps it from rolling over as it swims)?
|
anal
dorsal
pelvic
|
Discuss any differences of opinion. Students may need to observe
again.
To observe gill action fill an eyedropper with red food coloring.
Drop a few drops in front of the blackfish's mouth.
Observe what happens and describe.
The fish took in water through its mouth. When it closed its
mouth the water was forced out through the gills. The oxygen was
removed as the water passed over the gills.
There are three parts to the gills: the cover, the gill filaments
and gill rakers. What do these structures do?
The gill cover (operculum) protects the gills. The gill rakers
are shorter than the filaments; they strain the food out of the water
for the fish to use. The gill filaments remove oxygen from the
water.
Discussion questions.
How is this form of breathing by a fish different from
our own?
What are some other animals that breathe with gills?
|
ACTIVITY
|
Gill Action and Water Temperature
|
Another experiment to observe gill action involves changing the
temperature of the blackfishs water. The fish should be in a small
beaker or jar which can be placed inside a larger bowl. Tape a
thermometer inside the jar with the blackfish. Record the water
temperature, and count the number of movements the gill cover
(operculum) makes in one minute. Then add warm water to the outside
bowl; record the warmer stabilized temperature, count the operculum
movements and record. Add warmer water, not hot; record a new
stabilized temperature, count the operculum movements, etc. Add
crushed ice to the outside bowl, observe movements at lower
temperatures and record.
Blackfish Respiration
|
Temperature
|
Gill cover movements/minute
|
|
________________________ |
|
_______________________________
|
|
________________________ |
|
_______________________________
|
|
________________________ |
|
_______________________________
|
|
________________________ |
|
_______________________________
|
|
________________________ |
|
_______________________________
|
|
________________________ |
|
_______________________________
|
Make a graph using the data. Connect the coordinates with a line.
Discuss the following with the class: When did the gill cover move
the fastest? What was the temperature? When were the movements the
slowest? How does this relate to the season of the year? How does
this relate to the oxygen available to the fish in the water?
|
ACTIVITY
|
Fish Classification
|
Fish Classification. Brainstorm with students to define a fish
including the special adaptations fish have made to live successfully
in the water. Depending on where the students are in your science
curriculum, this activity can be expanded to identify and compare
vertebrates and invertebrates structures, and/or human systems.
|
Chordata
|
phylum
characterized by a dorsal, hollow nerve cord and gill
slits
|
|
Vertebrata
|
subphyla
characterized by a backbone, closed circulatory system,
a brain encased in a bony framework and most have two pairs
of limbs
|
|
Osteichthyes
|
class
characterized by having bony skeletons.
Gills-oxygen Fins-movement Cold-blooded-active when warm,
sluggish when cold
Skin with scales-protection
Swim bladder-buoyancy, regulates depth in water; otherwise
tend to sink
|
For further comparisons have the students:
name 3 cold blooded animals.
name 3 warm-blooded animals.
name 3 vertebrates.
If the class is also using the Yukon eel (lamprey) unit, it would
be helpful to learn the other two classes of fish.
|
Agnatha
|
class
characterized by no bones, cartilage
no jaws
no paired fins
lampreys such as the "eels" found on the Yukon
|
|
Chondrichthyes
|
class
no bones, cartilage
movable jaws
paired fins
sharks and rays
|
|
ACTIVITY
|
Special Adaptation
|
The blackfish has a special adaptation which allows it to breath
oxygen from the air. It has a modified esophagus. There is only one
other fish in the world that has this same adaptation. Have students
research this. How has this adaptation helped the blackfish survive?
How has it affected its range?
|
ACTIVITY
|
Average Size Blackfish
|
Have students measure and weigh individual blackfish to find the
average size for your area. Blackfish are rarely over 20 cm (8 in) in
length and weigh 200-240 gm (7-8.5 oz). In the Yukon-Kuskokwim Delta
fish up to 25.5 cm have been found. Around Anchorage a fish was
measured at 30.4 cm and weighed 366.0 grams. The measuring can be
done by groups and their results compared. Information can be
recorded on a table.
|
ACTIVITY
|
Oil Content of
Blackfish
|
Have students measure and weigh a dead blackfish. Cut it up and
boil in water. Wait 10 minutes; what is floating on the water? Have
students skim it off and weigh the oil. What percentage of the of the
blackfish is oil? What purpose does it serve the blackfish?
|
ACTIVITY
|
Blackfish Dissection
|
Blackfish are cooked whole without cleaning. Some people eat the
whole fish; others leave the guts. Have the teacher dissect the
blackfish so the students can see the intestinal tract.
|
LESSON 10
|
TEA/FEAST/PRESENTATION for
ELDERS and LOCAL EXPERT
|
Students will be able to
preserve and prepare blackfish in the traditional
way.
present a program about what they have learned about traditional
ways, Native language, blackfish behavior and characteristics.
show appreciation to the Elders/local experts for their help.
|
ACTIVITY
|
Preserving Blackfish
|
Depending on the size of the blackfish catch, facilities and time
available, blackfish can be frozen in blocks, smoked, dried, and/ or
half-dried.
|
ACTIVITY
|
Cooking Blackfish
|
Use local recipes to prepare blackfish meal for Elders/local
experts.
|
ACTIVITY
|
Preparations and Presentation
|
The following are suggestions: invitations (could be made
from a
drawing of a blackfish, fish print, dipper, etc.), menu, gifts
(blocks of frozen blackfish, dried, and /
or half-dried), and program (speeches of appreciation,
sharing, and thanks, presentations of what was learned either as
reports from student books, video, skits, and /
or a song made up about blackfish using the Native
language).
INFORMATION
from Elders:
To prepare blackfish they can be baked, fried, or boiled. They do not
need to be cleaned. The water is boiled, and the fish dropped in.
Sometimes blackfish is cooked fresh -still alive- one could jump out
of the pot! Reminder, blackfish cooks fast.
Some people eat them frozen. Yupiks eat them with seal oil. Some
eat guts and all. Some eat only the top meat off. Some people like to
eat the whole fish which has the little eggs. When blackfish are
boiled, the water is very nutritious and is drunk.
Blackfish were frozen in large blocks. At potlatches the blocks
were sawed into smaller blocks and passed out to the guests.
Handbook
for Culturally Responsive Science Curriculum by Sidney Stephens
Excerpt: "The information and insights contained in this document will be
of interest to anyone involved in bringing local knowledge to bear in school
curriculum. Drawing upon the efforts of many people over a period of several
years, Sidney Stephens has managed to distill and synthesize the critical ingredients
for making the teaching of science relevant and meaningful in culturally adaptable
ways." |