This is part of the ANKN Logo This is part of the ANKN Banner
This is part of the ANKN Logo This is part of the ANKN Banner Home Page About ANKN Publications Academic Programs Curriculum Resources Calendar of Events Announcements Site Index This is part of the ANKN Banner
This is part of the ANKN Logo This is part of the ANKN Banner This is part of the ANKN Banner
This is part of the ANKN Logo This is part of the ANKN Banner This is part of the ANKN Banner
Native Pathways to Education
Alaska Native Cultural Resources
Indigenous Knowledge Systems
Indigenous Education Worldwide
 

The Indian Child Goes To School

CHAPTER VI

THE INFLUENCE OF CULTURAL AND ENVIRONMENTAL FACTORS ON ACHIEVEMENT

In Chapter IV we observed that the race-school groups of pupils in this study arrange themselves into a general order or hierarchy of achievement. This order is:

1. White pupils in public schools

2. Indian pupils in public schools

3. Indian pupils in Federal schools

4. Indian pupils in mission schools

What light can he shed on the causes of these differences? In this chapter we will investigate separately the relationship of a number of cultural and environmental factors to achievement. The investigators felt that these were some of the factors which might influence achievement. It was recognized. of course, that there are other such factors not dealt with in this study; for example, individual intelligence. Since it has not been possible to hold all other factors constant while. investigating a single factor, we are not in a position to say positively that the relationship of any one factor to achievement is one of cause and effect.

Before proceeding, however, three points need to be made clear. First, there were great differences in level of achievement among individual pupils in the same area, in the same type of school, and of the same race. For that matter, these individual pupil differences were usually large within the same grade of the same school. Basically, however, we are not treating differences between individual pupils in this study, although Chapters VII and VIII will he devoted to describing ways of determining individual pupil differences and taking effective action in the light of such knowledge. Second, there were undoubtedly marked differences in the level of achievement among the individual schools participating in the study, hut the data are not treated in such a way as to differentiate among individual schools. This could he done from the data at hand and it is suggested that it should he done whenever a transfer of the pupils of one of the participating schools to another is contemplated in the future. Third, the differences we are discussing here are characteristic of large groups of individual pupils enrolled in a large number of individual schools. We are concerned with the factors related to such differences in achievement because we believe that by studying them we may better understand the factors which influence the learning of children everywhere.

It scarcely can he doubted that there were wide differences in the quality of the schools that participated. Teachers are not all equally well trained and equally effective. Some schools have better planned curricula than do others. The teaching materials and equipment in one school may be much superior to those in another. Furthermore, the writers are entirely convinced that the quality of a school and its instructional program has much to do with how well or how much its pupils learn. It must he pointed out, however, that differences which are wholly individual in character, whether of pupils, teachers, or schools, probably tend to approach a normal distribution when taken together for an entire administrative area of this study. The good quality of some will counterbalance the poor quality of others.

Still we are faced with the hierarchy of achievement of race-school groups set out at the beginning of this chapter. What thread of influence runs through these groups and accounts for these rather clear-cut differences? It might be supposed, as was pointed out in Chapter IV, that the instructional programs of the three administrative types of schools differ markedly enough from each other in quality to account alone for the differences in achievement. One fact stands as a bar to such a conclusion. If the instructional program of the school alone controls the level of achievement of pupils, why do Indian children who attend public schools not achieve as high as do white children who attend public schools? And yet they do not do so in any one of the six administrative areas included in this study.

DEGREE OF INDIAN BLOOD AND PRE-SCHOOL LANGUAGE

Manifestly, we must look beyond the instructional programs of the schools for an explanation of the differences in achievement among the race-school groups. What of the pupils themselves? Are the pupils who comprise the various race-school groups different from each other, on the average, in any basic respects? An examination of Tables 6-a through 6-g will disclose that in two particulars they are strikingly different from each other

Table 6-a shows the percentages of full-blood pupils in each of the three Indian groups: Federal school, public school, and mission school. In each of the six administrative areas a smaller percentage of the Indian pupils attending public school were full-bloods than was true for either Federal or mission schools, with one exception. This occurred in the Aberdeen Area where the mission schools enrolled a smaller proportion of full-bloods than did either the Federal or public schools. In the Albuquerque and Billings Areas the mission schools enrolled an even higher percentage of full-blood pupils than did the Federal schools, and in the Phoenix Area the proportion was very little lower.

Tables 6-h through 6-g show in percentages, by areas and by grades, the pre-school language spoken by each of the race-school groups. Without exception a larger percentage of Indian pupils in public schools spoke only English and a smaller percentage spoke only some other tongue than was true for Indian pupils attending Federal schools. As a general rule even fewer Indian pupils attending mission schools spoke only English and more spoke only some other language, prior to school entrance, than was the case with Indian pupils attending Federal schools. Again, a notable exception to this rule occurred in the Aberdeen Area where the situation was reversed. In all areas except Albuquerque a great preponderance of the non-Indian children spoke only English prior to school entrance and a minute percentage spoke only some language other than English. Even in the Albuquerque Area a far higher percentage of the non-Indian pupils in the public schools spoke only English prior to entering school than was true for any of the Indian groups.

Thus, on the bases of full-blood pupils and pre-school language the race-school groups arrange themselves into hierarchies which coincide with the hierarchy of achievement. That is, the higher achieving groups enrolled a smaller percentage of full-blood pupils, a smaller percentage of pupils not speaking any English prior to school entrance, and a higher percentage of pupils speaking only English prior to starting to school.

Degree of Blood and Pre-School Language as Indices of Acculturation

It should be made clear that the writers do not believe that blood quantum and preschool language in themselves are strong determiners of achievement. They do believe that these two characteristics are excellent indices, on the whole, of the stage of acculturation of the groups of pupils. Finally, they believe that the extent to which a family or community has integrated itself with the dominant culture of the nation has a very great influence upon the school achievement of its children.

The foregoing statement needs clarification in several respects. Many full-blooded Indians are completely acculturated and have reached a high level of sophistication. In general, however, it is probable that the white person, or the person of mixed-blood has had greater opportunity to acquire the attributes of the major culture, of which knowledge of the English language is one, but only one.

There is evidence available which indicates that by the fourth grade level the school may he successful in overcoming in large part the pupil’s handicap of lack of pre-school English in learning the basic skills. Later on, however, and particularly by grade six, the same pupils may again fall farther behind their classmates who come from English-speaking homes.1 It must be remembered that the influence of the home and community on the child does not cease when he enters school. If he returns each evening to a home in which English is not spoken he will get no help and scant encouragement there in developing English skills. Up until grade four, for example, all pupils are developing verbal and numerical skills which are very basic to their everyday needs and common experiences. In the higher grades, however, the learning experiences involve concepts which are more abstract and farther removed from the everyday needs of the learner as he feels them. If the home, or the community for that matter, is not able to keep pace with these expanding learning situations in the school, it can contribute little to the learning process.

Table 6-a

Table 6-b

Table 6-c

Table 6-d

Table 6-e

Table 6-f

Table 6-g

Defining “Acculturation.” We often use the term “acculturation” as if its meaning must be clear to anyone hearing it. This certainly is taking too much for granted. There is an obligation to define “acculturation” as it applies to pupils in this study. A dictionary definition of acculturation is, “the process and result of adopting the culture traits of another group.” Without presuming to treat the subject exhaustively, it may be helpful to cite some examples of traits which are felt to be characteristic of the major part of the population of the United States and which the lower achieving groups in this study probably possess in lesser degree than do the higher achieving groups.

I. Habitual use of spoken and written English in the home and community as a means of communication. The presence of books, magazines, a daily newspaper, radio, and perhaps television in the home.

2. Regular, useful, and gainful employment of the bread-winner of the family. The possibility of the children of the family looking toward adulthood with confident expectation of desirable employment opportunity.

3. Participation with one’s neighbors in the educational agencies of the community, other than schools, such as the churches, Scouting, and 4-H clubs.

4. Participation by adult members of the family in civic and community affairs such as voting, active membership in service clubs, veterans organizations, farmers cooperatives, etc., to mention only a few.

5. A reasonably good understanding of and concern for proper diet and health practices, particularly as they concern the younger members of the family.

6. Acceptance of a set of values which attaches importance to such traits as industry, thrift, punctuality, acquisitiveness, competitiveness, and independence. (Whether all of these traits are virtuous, especially when carried to an extreme, may be debatable. It is felt that they are typical of the major culture of the country.)

How Acculturation Is Accomplished. It must be obvious that the above list could be expanded, almost ad infinitum. It is clear, however, that even the six points listed are not solely within the immediate control of the school. The writers would be the first to place the school at the head of a list of acculturative agencies of society. The benefits of education, however, find their most effective expression in home and community life. Usually it is only after the pupil himself has reached adulthood and becomes the head of a family that his education makes itself felt in changing culture patterns. Thus, generation by generation the process of acculturation progresses. This “delayed action” type of progress is frustrating to those persons who impatiently expect people to be “made over in a day” and who seem to believe that if the schools are run effectively this should be possible.

Furthermore, however well the schools may do their job, the task of helping Indian people to achieve lull status in American life calls for cooperative effort on a broad front. It

is neither the prerogative nor the desire of the writers to lecture the Indian people concerning any obligation on their part to acquire the traits of the dominant culture. The writers feel they should point out, however, that Indian people face an alternative—perhaps a hard one. For except as Indian people embrace the major culture it seems unlikely that their children, on the average, will learn as well or as much in their school subjects as do white children. Nor is the problem unilateral in its aspects. Non-Indian people cannot reasonably expect that Indian people will enthusiastically embrace the major culture unless they arc encouraged and helped to do so.

Reconciling Two Exceptions to the General Hierarchy of Achievement

How can the two exceptions to the general hierarchy of achievement of race-school groups be explained: namely, the relatively high position of mission school pupils in the Aberdeen Area and of Federal school pupils in the Albuquerque Area So tar as the Aberdeen Area is concerned, the fact that mission school pupils achieved at a higher level than Federal school pupils, and at least as high as public school Indian pupils, is perfectly consistent with the main premise set forth in this chapter thus far. That is, the mission schools in the Aberdeen Area enrolled a smaller percentage of full-blood Indian pupils than did either the Federal or public schools. Furthermore, a larger percentage of mission school Indian pupils spoke only English prior to school entrance, and a smaller percentage spoke only another tongue, than was true of either Federal or public school Indian pupils.

The relatively high achievement of the Federal school pupils iii the Albuquerque Area does not yield to such a ready explanation. Here the Indian pupils in Federal schools achieved significantly higher than did the Indian pupils in public schools. Also, there was no significant difference between the level of achievement of public school Indian pupils and those in mission schools. No objective data can he adduced to account satisfactorily for this departure from the typical hierarchy as described in Chapter IV. A substantially higher percentage of the Federal school pupils were full-bloods than was true for the public school Pupils. The mission schools enrolled a higher percentage of full-blood pupils than did either of the other types of schools. Also, a much lower percentage of public school Indian pupils spoke only some language other than English, prior to school entrance, than was true of either Federal or mission school Indian pupils.

Without question the Federal schools of the Albuquerque Area (now the United Pueblos Agency) enjoy certain advantages not shared by those of some of the other areas. First, the Pueblo villages were fairly compactly located with respect to area headquarters, facilitating effective supervision of the schools. The education staff of the Bureau has taken full advantage of this circumstance to do excellent work in the supervision of instruction, cooperative curriculum planning and preparation of teaching materials, and in evaluation of the educational program. Second, the Pueblo people live in villages, immediately adjacent to which the Federal day schools have been placed. The Pueblo People have had for centuries a relatively stable culture and a closely knit community organization. As a result the day schools have become closely integrated with village community life. One result of this has been that the average daily attendance of the Federal day schools approaches a highly satisfactory 94 percent, as disclosed by attendance records independent of this study.

It may be important to note that the non-Indian pupils in the public schools of the Albuquerque Area differ markedly in one respect from any other non-Indian group in this study. Twenty-eight percent of them spoke only some language other than English before starting to school (mostly Spanish) and 37.3 percent spoke a combination of English and some other language. Only 34.8 percent spoke only English prior to school entrance. They were the lowest achieving of all the non-Indian public school groups in the study, although they achieved significantly higher than any of the Indian groups in the Albuquerque Area. One can only speculate as to whether they exercised less acculturative influence on their Indian classmates in the public schools than did their non—Indian contemporaries in the other areas.

AGE OF PUPILS IN RELATION TO GRADE

On the average, Indian children are older for their grade than are white pupils. Age-grade data in this study reveal that, in general, the average age of Indian pupils in Federal schools was slightly more than a year greater than that of white children in public schools in the same grade. Indian pupils in public schools were approximately six months older, on the average, than their white classmates, while Indian children in mission schools were, in general, nearly a year older than white pupils of the same grade in the public schools. These findings are very similar to those of Peterson2 in 1946 and of Anderson3, et al, in 1950.

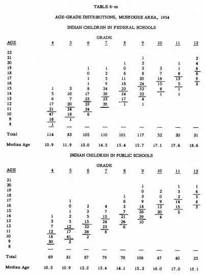
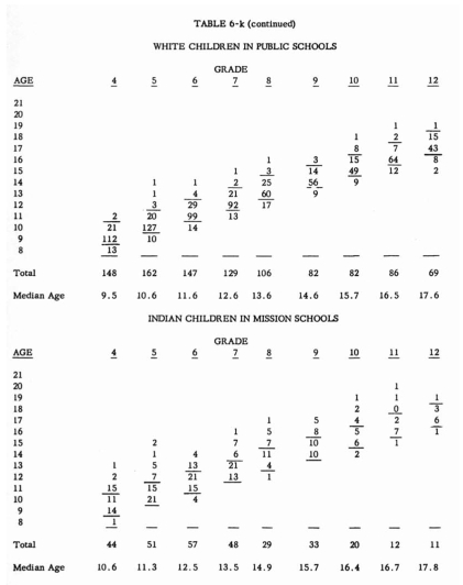
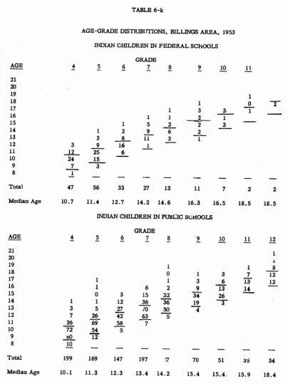
Tables 6-h through 6-rn show the distribution of pupils in the study by age and by grade for each of the six areas. Pupils falling within the normal age range for a grade are set off by the staggered lines. The determination of what is “normal” age for a grade was based mainly on the data themselves. Ages nine and ten included more fourth-graders (the lowest grade in the study) than did any other two successive ages. Fourth-grade pupils who were either nine or ten years old at the time the tests were given were thus identified as “at grade” for their age. Those who were older or younger were identified as “over-age” or “under-age”, respectively. By a regular progression. normal ages for each of the succeeding grade levels were determined by adding one year for each grade. Tables 6-h through 6-rn also show a median age for each race-school group, for each grade in each area.

The average over-ageness of Indian pupils as compared with white pupils was not the same in all of the areas. For Indian pupils in Federal schools it was greatest in the Phoenix arid Muskogee Areas and least in the Albuquerque Area, ranging from about one year and four months for the former to about eleven months for the latter. For Indian pupils in public schools it was greatest in the Aberdeen Area and least in the Anadarko Area, with a range from approximately nine months to about four months. The greatest over-ageness for Indian pupils in mission schools occurred in the Phoenix Area and the least in the Aberdeen and Albuquerque Areas, ranging from about one and a half years to about nine months.

Some Reasons for the Over-ageness of Indian Pupils

It should be remembered that bate entrance into school accounts for some. but by no means all of the over-ageness of Indian pupils. For those pupils who speak little or no English prior to school entrance, Federal schools have found it necessary to require a beginning year. During this year skills in spoken English are developed and the child is helped to acquire a background of experience which will make formal instruction in the basic skill subjects, beginning with grade one, more meaningful to him. Presumably public and mission schools which enroll children with a similar problem must do much the same things. Undoubtedly the necessity for this beginning year contributes substantially to the general aver-ageness of Indian pupils.

Another factor which may account in part for the tendency of Indian pupils to be older for their grade than white children of the same grade is the frequency with which Indian children in some localities fail to attend school during an entire school year. Lack of stability in the social and economic bite of many Indian families mainly accounts for this. For example. in some localities some families withdraw children from school for considerable periods of tune while the adults, and the older children, engage in migrant seasonal labor. The families need the income from this type of work because of poor resources au the reservations. but prolonged periods of absence from school may, of course, necessitate a pupils repeating a grade. School authorities are striving hard to correct this situation by finding means of keeping the children in school while the adults are away from home working.

Table 6-h

Table 6-h

Table 6-i

Table 6-i

Table 6-j

Table 6-j

Table 6-k

Table 6-k

Table 6-l

Table 6-l

Table 6-m

Table 6-m

It is not believed that there is any widespread practice, in Federal schools at least, of retaining a pupil in a grade for a second year because of academic failure. The writers cannot speak with authority concerning the promotional policies of public and mission schools.

Other Observations

Referring again to Tables 6-h through 6-rn, it will b~ noted that in general the range of ages in a given grade was greatest for Indian pupils in Federal schools and least for white pupils in public school. It will he observed, too, that generally the range of ages within a grade lessened for each race-school group from grade four through grade twelve. The writers believe that this latter phenomenon is brought about largely by the dropping out of school of over-age pupils as the higher grades are reached.

For the most part, in any grade in any area the concentration of ages for white pupils in public schools was in one or two years, while the concentration of Indian pupils in Federal schools was usually in three or four different years.

Although no data relating to the sex of pupils is given in the age-grade tables, it was observed by the investigators that, regardless of race-school groupings, the preponderance of pupils who were over-age for their grade were boys and the majority of pupils who were under-age for their grade were girls.

It appears from the data that, except in the Albuquerque and Phoenix Areas, Indian and white pupils tend to he more nearly the same age in the eleventh and twelfth grades than was true for the earlier grades. Again, we find here a suggestion of heavy drop-out of over-age Indian pupils at the highest grade levels.

The Relationship Between Age in Grade and Achievement

A study of the data reveals, furthermore, that there is a definite relationship between the over-ageness or under-ageness of the pupils in this study and their achievement in the basic skill subjects. There is impressive evidence that, on the average, those pupils who were over-age for their grade did not make as high scores on the tests as did the pupils who were of normal age for their grade. The data indicate, somewhat less conclusively, that in general the pupils who were under-age for their grade did somewhat better on the tests than did those falling within the normal age range. A word of explanation and of qualification about this latter statement is necessary and will he given later.

A comparison of the achievement of at-age, over-age, and under-age pupils, on total score only, was made for each area, in each grade, and for each race-school group whenever the number of pupils in a 4atcgory was large enough to insure a reasonable degree of reliability. No comparison was made when the number of pupils in a category fell below thirty. Table 6—n shows the results of these comparisons. It will be noted that the table shows the differences between mean scores for various pairs of age groups. The mean score of the second group has been subtracted from the mean score of the first group.

In all it was possible to make sixty-eight comparisons. Of these, fifty-one were comparisons of over-age pupils with those who were at-grade for their age. Of the fifty-one comparisons, forty-three showed that pupils who were of normal age for their grade achieved significantly higher on the average than did those who were over-age. In only one instance (tenth grade in Federal schools of the Albuquerque Area) did over-age pupils actually make a higher average score than pupils who were at-grade for their age.

Table 6-n

Differences between means are of total raw score and were obtained by subtracting the mean of the second group from the mean of the first. All differences except those preceded by a minus sign indicate that the first group in the comparison had the higher average or mean score.

*Significant at or beyond the .05 level of confidence. (Apparent inconsistencies, in that some differences are not significant whereas smaller differences are, are attributable to the smaller number of pupils in a group. For these numbers refer to Tables 8-h through 6-m.)

Table 6-n

Of the remaining seventeen comparisons, fifteen compared the achievement of under age pupils with thos of normal age. Of these, six showed the under-age pupils to be significantly higher. In only two of the fifteen comparisons did the at-age pupils actually make higher average scores than those who were under-age.

The remaining two comparisons were of under-age and over-age pupils. In both of these the under-age pupils were significantly higher.

Except in the Albuquerque Area, all of the over-age comparisons were of Indian children. Without exception time under age comparisons were of white pupils.

It must he noted that most of time pupils who are here classified is under-age would not be considered so in many, or perhaps in most, of the schools of the nation. The normal age-grade range as defined in this study is perhaps one year higher than in the typical school. Therefore, there is no justification whatever for concluding that starting children to school at an unusually early age or accelerating them unduly helps them to learn.

The writers do not believe that over-ageness in itself is the sole contributor to the tendency of over-age pupils to achieve less well than those of normal age. It is probable that social, economic, and cultural factors in the home and community which may have caused the pupil to be over-age in the first place will continue to operate against his learning, It is true, however, that being over-age for his grade may hamper a pupil’s social adjustment in the school and cause serious loss of interest in motivation.

Once again, the reader should bear in mind that we have been speaking in terms of averages. There were, of course, some over-age pupils who achieved higher than some pupils who were of normal age for their grade.

The “Holding Power” of the School

One of the perennial concerns of the school is its “holding power.” However effective or ineffective the program of the school may be in educating the child, it obviously can do nothing for him if he is not present. It therefore behooves any school to examine its “drop-out” problem closely – to see whether it is alarmingly high and to determine, if it can, why children drop out of the school prior to the completion of the twelfth grade. Incidentally, it is often very difficult to determine the true reasons for a pupil’s dropping out of school. Inevitably, since Indian children attend three different types of schools, there is considerable interest as to which type does the best job of holding Indian children in school.

Unfortunately the data in this study are not of such a mature as to throw much light on this question. There are several reasons for this:

(a) The data were all gathered in a given year for a given area and thus do not represent thc progression of the same children from grade four toward or through grade twelve.

(b) The increasing in influx of students into the lower grades, typical of the country as a whole in recent years, is not taken into account.

(c) In organizing the study, there was no attempt to control closely the selection of participating schools with the dropout question in mind. To have done so would have seriously handicapped the study in other important respects. The general aim was to test all children in Federal schools in an area and approximately the same number of pupils in public and mission schools combined. Public schools enrolling a considerable proportion of Indian pupils, and operating in the same general localities as Federal schools, were invited to participate. Participation was entirely voluntary, however, and depended largely upon the interest of public school administrators and teachers.

Examples of unusual enrollment situations which resulted were:

(1) In many communities public high school pupils are bussed in from smaller rural communities which operate their own elementary schools and which may not have participated in the study. This served to make the hij1h school enrollment larger by comparison with elementary enrollment than it would normally be. The Aberdeen, Muskogee, and Anadarko Areas offer excellent illustrations of this. On the other hand, an opposite situation might exist: the elementary school may have participated in the program whereas the high school in another community to which the pupils are bussed did not.

(3) Indian children often transfer from Federal day schools or public schools to Federal boarding schools, sometimes in a different area. For instance, Flandreau, in the Aberdeen Area, enrolls pupils from the Billings Area; Chilocco and Haskell, while administratively in the Anadarko Area, enroll many pupils from the Muskogee Area.

(3) There is always some transferring of pupils among public, mission, and Federal schools at all grade levels.

Nevertheless, with due regard for the limitations mentioned above, there are indications from the data that Indian children the country over are not staying in school to the completion of their high school education in as large proportions as do white children. The data shown below seem to support this conclusion.

In 1950 there were 49.8 percent as many twelfth-graders as fourth-graders for the country as a whole and 77.7 percent as many twelfth-graders as eighth-grade pupils.4 These percentages for the Indian population in this study are well below that. They are shown in Table 6-o, below.

Table 6-o

Unquestionably the “holding power” of the school for Indian pupils is a matter of severe educational concern. A need for a much more rigorous and exhaustive survey of this problem is indicated.

RESIDENCE ON OR OFF A RESERVATION

There is strong evidence that Indian pupils who live on a reservation do not achieve as well in the basic skills, on the average, as those who do not. This comparison was made on total score only, by areas, by grades, and by race-school types. Again, for reasons of reliability no comparison was made when the number of pupils in any category fell below thirty. As a result, no comparisons were possible in the Albuquerque, Billings, and Phoenix Areas for time reason that there were not enough pupils whose homes were off Indian reservations. Comparisons which could be made in the Aberdeen, Anadarko, and Muskogee Areas are shown in Table 6-p.

In all, twenty-two comparisons were possible. Ten of these were in the Aberdeen Area with six each in the Anadarko and Muskogee Areas. All but three of the twenty-two comparisons were of Indian pupils in Federal schools; two were o Indian pupils in public schools amid the remaining one was of Indian pupils in mission schools.

Only four of the separate comparisons revealed differences which were statistically significant. All four of these showed Indian pupils living off reservations to be higher. This evidence taken alone would not he very conclusive. However, it was observed that in only four of the twenty-two comparisons did Indian pupils living on a reservation actually make a higher average score than those living off. This was true for two of six comparisons in the Anadarko Area and for two of six in the Muskogee Area. In the Aberdeen Area the “off-reservation” groups were unvaryingly higher. How likely is it that the apparent superiority of the “off-reservation” group occurred by chance alone? Statistical investigation5 revealed that this probability was less than one in two hundred, either for the three areas combined or for each area taken separately. This finding greatly strengthens the conclusion that Indian pupils who live on reservations do not achieve as high on the average as those who do not.

Table 6-p

RESIDENCE IN A TOWN OR IN THE COUNTRY

We may conclude from this study that, in general, pupils who live in a town achieve higher in the basic skills subjects than do those who live in the country.

Pupils in this study were asked whether they lived in a city or town or in the country. Comparisons were then made between the city-town groups and the country groups on the basis of achievement (mean total raw score). Table 6-q shows the results of these comparisons by areas, grades, and race-school groups. It also shows the number of pupils in each category.

In all, ninety-three separate comparisons were possible, after meeting the requirement of a minimum of thirty pupils in a category in the interests of reliability. Of these. seventy-six produced differences which were in the direction of the town pupils; only seventeen differences were in the direction of the country pupils. Twenty-four of the seventy-six differences favorable to the town pupils were statistically significant. Only three of the seventeen differences in the direction of the country pupils were significant.

The ninety-three comparisons were divided among the race-school groups as follows: white pupils in public schools, forty; Indian pupils in Federal schools, thirty-two; Indian Pupils in public schools, fourteen; Indian pupils in mission schools, seven. Regardless of race or type of school, the evidence strongly indicates the superior achievement of pupils who live in town.

An inspection of Table 6-q will reveal that the superiority of the town dwelling pupils was not as clear-cut in the Phoenix and Albuquerque Areas as it was elsewhere. Ten of the seventeen differences favorable to country dwelling pupils occurred in these areas. We cannot be sure that the slight general tendency of town dwellers in these areas to be superior in achievement did not occur by chance. In all other areas, however, and for the study as a whole the higher average achievement of pupils living in town was highly significant.

It should be pointed out that many of the pupils living in the country attended school in town, particularly in the high school grades. It is not felt that rural day schools alone account for the differences in average achievement.

THE CHOICE OF FRIENDS BY INDIAN AND WHITE PUPILS

It has seemed to the investigators in this study that the extent to which individuals of one race, given opportunity, select their friends from among individuals of another race is a valuable indication of the stage of social integration of the two races. The choosing of friends is a very personal matter. Each of the pupils in this study was asked to check one of the following statements about his friends: I. all of them are Indian boys and girls; 2. most of them are Indian, some are white; 3. most of them are white, some are Indian; 4. all of them are white boys and girls. To help the pupil understand what was meant by “friends,” the person administering the tests suggested that friends are the persons with whom we usually play.

In treating the data. responses to items I and 2, above, were added together, and likewise the responses to items 3 and 4. Table ô-r shows, by areas and by grades, the percentage of pupils in each race-school group who said their friends were all or mostly Indian boys and girls and the percentage who said their friends were all or mostly white boys and girls.

It was to he expected that since the Federal and mission schools enroll few, if any, white pupils a small percentage of Indian pupils in these schools would say that their friends were all or mostly white. This proved to be true, although this percentage does run in excess of IS percent for a few Federal and mission school groups in some of the areas. Pupils were not expected to interpret “friends” to mean only those pupils with whom they were currently attending school. Nevertheless it seems logical to suppose that most of a school child’s friends will be found among his schoolmates. For this reason we can look to the percentages in the public schools with added interest. In these schools both Indian and white pupils were attending although not usually in equal proportions.

Table 6-q

Table 6-q

In the Phoenix Area the number of public school pupils was small, with the ratio of white pupils to Indian pupils in most grades running two or three to one. Still, about three-fourths of the Indian pupils said their friends were all or mostly Indian; about 90 percent of the white pupils said their friends were all or mostly white.

In the Albuquerque Area the average ratio of white pupils to Indian pupils in public schools was approximately eight to one. In spite of this, except in grades four, five, and six. more than three-fourths of the Indian pupils said that all or most of heir friends were Indian. In every grade n-tore than 90 percent of the white pupils said all or most of their friends were white. This response by the white pupils is not surprising since there were so few Indian pupils from whom they could choose their friends.

In public schools of the .Aberdeen Area the ratio of white pupils to Indian pupils was between three and four to one. Here again a strong majority of the Indian pupils claimed all or mostly Indian friends while more than 95 percent of the white pupils said their friends were all or mostly white boys and girls.

Five times as many of the pupils tested in public schools of the Anadarko Area were white than were Indian. Understandably, in view of the disproportion, not ti-tore than two percent of the white pupils said that all or most of their friends were Indian. In the Anadarko Area, however, a majority of the Indian pupils in grades four, seven, ten, eleven, and twelve said that all or most of their friends were white. In the other grades the proportion of Indian pupils claiming all or mostly white friends, while less than half, was substantial.

In general there were between three and four times as many white pupils as Indian pupils tested in public schools of the Muskogee Area. As expected, more than 95 percent of the white pupils said that all or most of their friends were white. In all grades except seven and eight, however, a majority of the Indian pupils said that all or most of their friends were white.

In some ways. the data from the Billings Area are the most revealing. This was the only one of the six areas in which the numbers of white arid Indian pupils in the public schools were approximately equal. It is significant, then, that more than 80 percent of the pupils of each race indicated that all or most of their friends were of their own race.

It seems fair to conclude that, except in the, Oklahoma Areas, Indian pupils choose their friends mainly from their own race even though they have an equal or larger number of white schoolmates from whom to choose. And in the public schools of the Billings Area. where the proportion of white and Indian pupils was equal. the white pupils were equally inclined to select their friends from their own race.

The Relationship Between Choice of Friends and Achievement

An attempt was made to compare the school achievement of Indian pupils who said that all or most of their friends were white children with those who said they had all or mostly Indian friends. The attempt was not very rewarding. Because of insufficient numbers of Indian pupils claiming all or mostly white friends, comparisons were possible only for Indian pupils in public schools in the sixth grade of the Aberdeen Area and in grades six, seven, and nine of the Muskogee Area. Table 6-s shows the results of these Comparisons. None of the differences in mean total score was found to be statistically significant. On the basis of these findings there is not sufficient evidence for accepting the hypothesis that Indian pupils who has e mainly white friends achieve better in school than those who do not.

There is no reason for concluding from the data that Indian children do not achieve better by reason of attending school with white children. The data do not bear upon that point. It must be remembered that the question concerned “friends”—not associates or schoolmates. Few of us consider every associate a “friend” in the close, intimate connotation that the term usually carries. One may be able to learn from associates without feeling that they are close friends.

Table 6-r

Table 6-r

What is revealing is the evidence that the integration of the children of two races in a school in the bare sense of attendance does not necessarily lead. Immediately at least, to a type of social integration which will cause pupils to choose their friends without regard to race.

Table 6-s

THE PROPORTION OF WHITE PUPILS IN THE SCHOOLS ATTENDED BY INDIAN PUPILS

An investigation was made of the school achievement of Indian pupils in relation to the proportion of white pupils in the schools they attended. The background data for each pupil indicated whether the school he attended was made up of: 1. only Indians; 2. mostly Indians; 3. halt Indians. halt whites: 4, mostly whites: 5, only whites. In treating the data. 1 and 2, above were combined and designated as mostly Indian” and 4 and 5 were combined and designated as “mostly white.”

Obviously there were no Federal or mission schools which enrolled “mostly whites” or even “half Indian, half white” since the main reason for the existence of such schools is the education of Indian youth. Consequently such comparisons as could be made were entirely of Indian pupils attending public schools . All public schools in the study enrolled some Indian pupils else they would not have been included. In some of these schools most of the pupils were Indian. .As usual, a minimum requirement of thirty pupils in a category was adhered to before comparisons were made.

Table 6-t

on the average on total score than those attending “mostly Indian” schools. Differences in grades six and seven were in the direction of the pupils attending “mostly white” schools but they did not differ significantly.

In the Billings Area comparisons were made in grades four through eight between the average achievement of Indian pupils attending public schools which were “mostly Indian” and that of pupils attending schools that were ‘half Indian, half white.” Only one of these differences was found to be statistically significant. This was in grade seven iii which the pupils attending schools which were “half Indian, halt white” scored higher on the average than those in the “mostly Indian” schools. In grades tour and five the differences, although in the direction of the “mostly Indian” schools, were not significant.

In all, the data are not very impressive. There is a slight indication that Indian pupils attending public schools enrolling a large proportion of white pupils achieve better than those attending public schools with mostly Indian pupils but the evidence is by no means conclusive. Combining the probabilities yields a result lower than that which statisticians usually require before attaching significance to a difference.

REGULARITY OF ATTENDANCE

To most persons, and certainly to most teachers, it has been a foregone conclusion that regular attendance in school is an essential ingredient in a pupils scholastic success. To these persons it may seem a waste of time and effort to investigate the relationship between school achievement and regularity of attendance. The investigators were interested in bringing objective data to bear upon this question, however, for precisely the reason that it is so seldom done. The data do show clearly that, in general, pupils who attend school regularly learn more in the basic skills measured than those who do not. The evidence is remarkable mainly in that it is not more conclusive than it is.

The investigation concerning regularity of school attendance was confined to the day schools of the Aberdeen Area. distances are great in North Dakota and South Dakota and the winters are long and hard. Roads and weather often conspire against a child’s getting to school in the morning. In addition, many of the Indian people in this area engage in seasonal labor of the migrant type which takes them away from their homes, particularly in the early weeks of the school year. It was felt that hoarding schools do not encounter attendance problems to the same degree as do day schools.

Table 6-u shows the relationship between regularity of attendance and school achievement in the day schools of the Aberdeen Area. The data are shown by grades and by race-school groups. These are subdivided, further, into two groups on the basis of regularity of attendance and a comparison made of their mean total score on the test battery. A distribution was made of the number of days of absence for each separate race-school group within a grade and the median number of days absence for the group was computed. This resulted, of course, in au approximately equal division of each group. For example, for Indian pupils in Federal schools in grade four, the median number of days of absence per pupil was between fifteen and sixteen. A comparison was then made of the average achievement of those pupils who missed fifteen days of school or less with that of those who missed sixteen days of school or more. The mean difference was bound to be 4.6 raw score points. This difference, taken by itself, was not statistically significant.

In all, eighteen separate comparisons were possible. holding to the requirement of not less than thirty pupils in a group. Of these, four were statistically significant. It is noteworthy. however, that sixteen of the eighteen differences were in the direction of the more regular attenders. Neither of the two differences which were in the direction of the irregular attenders was statistically significant . A combining of probabilities of the eighteen differences reveals that, in general, the superiority of achievement of regular attenders over irregular attenders is highly significant. Nevertheless, the margin of superiority of irregular attenders over those who were more regular. among seventh-grade Indian pupils attending public schools, may prove surprising to many readers. It should be said that this was the smallest of all the groups with exactly thirty pupils in each category. Differences within the group, of factors other than attendance, apparently overcame the tendency of regular attenders to achieve higher than those who were irregular.

Table 6-u

It will be noted that the greatest absence was among Indian pupils attending Federal schools, the next greatest among Indian pupils attending public schools id the least among white pupils attending public schools. This is not surprising since, as was pointed out earlier in this chapter, the Federal schools serve the less acculturated, and presumable the more isolated portion of the Indian population. Since the mission schools in the Aberdeen Area are mainly of the boarding type. no comparisons involving mission school pupils were possible.

It is recognized that, whereas the attendance data for each pupil was gathered for only one school year, every year of the pupil’s school experience up to the time of testing had influenced his achievement test scores. It seems reasonable to suppose, however, that. having prolonged illness or other unusual circumstances, the pattern of attendance of most pupils is probably fairly consistent from year to year.

Finally, it must he borne in mind that regularity of attendance is only one of many variables which influence learning. The data give us no reason to doubt that, it all other variables could be held constant, pupils who attend school regularly would achieve consistently better than those who do not.

EDUCATIONAL ASPIRATION

The investigation revealed a striking and highly significant relationship between the educational aspiration of pupils and their school achievement. The evidence is rather overwhelming that, in general, the higher achieving pupils expect to go farther in school than do the low achievers. The evidence does not reveal which is cause and which is effect, if we assume that a cause and effect relationship exists. That is, we do not know whether pupils aspire to continue in school because they learn well or whether they learn well because their aspiration is high. Perhaps each contributes in some part to the result. All we know is that high aspiration and high achievement tend to go together.

All pupils tested were asked to indicate how far they expected to go in school. Table 6-v shows the numbers of pupils responding. by areas, grades and race-school groups. It also shows the percentages of pupils in each of three categories: 1. those expecting to go farther in school than grade eight; 2. those expecting to go beyond grade eight but no farther than graduation from high school: 3. those expecting to take some kind of training beyond high school. This latter did not has e to lie college. but could lie nurses’ training or some sort of trade or business training.

These tables of percentages are shown because it is believed that they will be of interest to many readers. The great preponderance of even fourth. fifth, and six-grade pupils, regardless of area or race-school group expected to get at least sonic high school training. In general, a larger proportion of the pupils of both races in the Oklahoma areas expected to secure training of some sort beyond high school than wa5 true for pupils of the other areas.

In most of the areas there is a slight. but not a consistent tendency for a greater proportion of white pupils than Indian in the elementary and intermediate grades to aspire to education beyond high school. This proportion is likely to reverse itself in the eleventh and twelfth-grades, however.

Table 6-v

Table 6-v

Table 6-v

Table 6-w

Table 6-w

It may be observed that in some of the areas a scattered few pupils who were in the high school grades indicated that they did not expect to go beyond the eighth grade, Obviously this resulted from their misunderstanding the question or inadvertently marking in the wrong space.

Table 6-w shows comparisons of the average achievement (total score) of the three groups as defined by level of aspiration. These are shown by areas, grades. and race-school groups. Comparisons, as usual, were confined to those groups having thirty or more pupils. In all, eighty-three separate comparisons were possible. Of these, all but three showed the higher aspiring group to have the higher mean achievement score. Of these eighty differences favorable to the higher aspiring groups, fifty-five were statistically significant. Of the three differences favorable to the lower aspiring groups, none was statistically significant.

It was noted that of thirty-three comparisons involving Indian pupils in Federal schools, seventeen or slightly more than half were statistically significant. Of those involving white pupils in public schools, thirty-five of forty-three, or slightly more than 80 percent were significant. Three of seven differences involving Indian pupils in public schools were found to be significant. No comparisons invoking Indian pupils attending mission schools were possible because of insufficient numbers. There was a tendency for the differences between groups of white pupils to be larger than was true of Indian pupils.

It is of special interest to note that even at the fourth-grade level the relationship between educational aspiration and achievement had begun to manifest itself.

1 “The Effect of Pre-School Language on the Educational Achievement of Indian and White Children in the Southwestern United States” a progress report submitted by the university of Kansas to the Bureau of Indian Affairs, January 1954.

2 Shalier Peterson, 1948, “Hos Well Are Indian Children Educated”: Haskell Institute Press.

3 Kenneth E. Anderson, E. Gordon Collister and Carl F. Ladd, 1954: “The Educational Achievement of Indian Children:” Haskell Institute Press.

4 Statistical Abstract of the United States, Bureau of the Census, 1950.

5 R. A. Fisher, 1950, “Combining Tests of Significance,” Statistical Methods for Research Workers, New York: Hafner, pp. 99 – 101.

 

 

Go to University of AlaskaThe University of Alaska Fairbanks is an Affirmative Action/Equal Opportunity employer, educational institution, and provider is a part of the University of Alaska system. Learn more about UA's notice of nondiscrimination.

 


Alaska Native Knowledge Network
University of Alaska Fairbanks
PO Box 756730
Fairbanks  AK 99775-6730
Phone (907) 474.1902
Fax (907) 474.1957
Questions or comments?
Contact
ANKN
Last modified August 17, 2006